Fully Restrained Tapered Bar:
If the bar were not restrained however free to expand it would have extended by an amount ΔL, specified by
ΔL = α L ΔT
Because of the restraint, a compressive force P would have produced in the bar whose effect is to generate a contraction equivalent to ΔL. Under this force, a cross-section at any distance x from the larger end should have produced a stress, σx, equivalent to P/ Ax of that cross-section. , where Ax is the area of that cross-section

The strain at that cross-section, εx, might be written such as
ε = σx/E = 4P/ (Eπ (d1 -(x/L) (d1 - d2 ) )2)
Under this strain, a small element of the bar of length dx would have modified its length by d (ΔL) given by
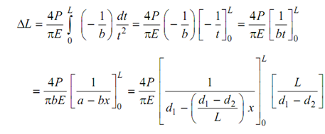
d (ΔL) = εxdx = 4P dx / (πE( d1 -(x/L) (d1 - d2 ) )2)
The entire change in length ΔL can then be get by integrating the above expression.
∴ 
Therefore,

where, a = d1 and b = ( d1- d2) /L
Now, on writing (a - bx) = t, we obtain dx =- dt / b
Substituting these,

= 4PL /πE d1 d2
∴ 4PL /πE d1 d2= L α ΔT
So the compressive force produced in the bar because of restraining the free expansion for an enhance in temperature ΔT is
P = πE d1 d2 α ΔT/4
Therefore, the thermal stress, σx, at any cross-section along an area of Ax is specified as
σx = P/ Ax = πE d1 d2 α ΔT/4 Ax
= E d1 d2 α ΔT / (d1 -(x/L) (d1 - d2 ) 2)
here x is deliberate from the end along diameter d1 that is the larger end.
The maximum stress, σmax, in the bar takes place at the smaller end with diameter d2.
σmax = E d1 α ΔT / d2
For cross-sections other than circular, the derivation might be preceded in a similar kind of way.