Basic Convention Techniques Used in Project Management:
Two conventions are utilized in practice for displaying project networks:
(a) Activity-on-Node (AON) as illustrated in Figure 1.
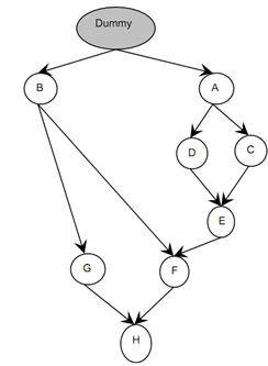
(b) Activity-on-Arc (AOA) as illustrated in Figure 2. The characteristics of the two are following:
AON
o Each of activity is represented by a node in the network.
o A precedence relationship among two activities is represented by an arc or link between the two.
o AON can be less error prone because it does not need dummy activities or arcs.
AOA
o Each of activity is represented by an arc in the network.
o If activity X should precede activity Y, there are X leads into arc Y. Thus, the nodes represent events or "milestones" (for example "finished activity X"). Dummy activities of zero length can be needed to properly represent precedence relationships.
o AOA historically has been more popular, may be because of its similarity to Gantt charts utilized in scheduling.

Figure (1): AON Representation of the Project

Figure (2): AOA Representation of the Project
The next section gives the detail description of CPM and PERT along with few instance in order to give an apparent picture of these methodology.